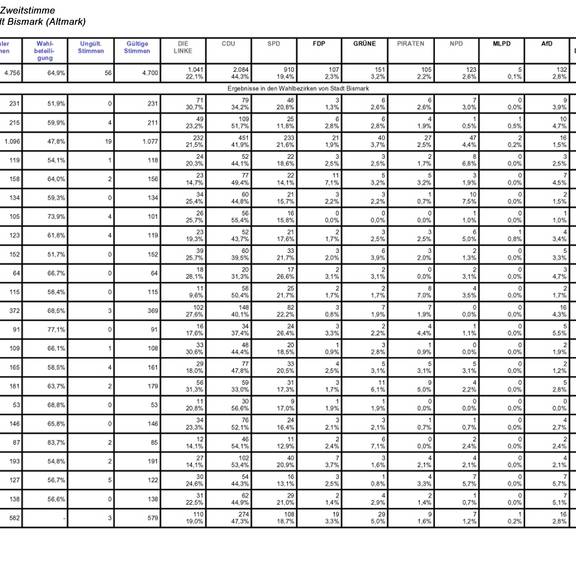
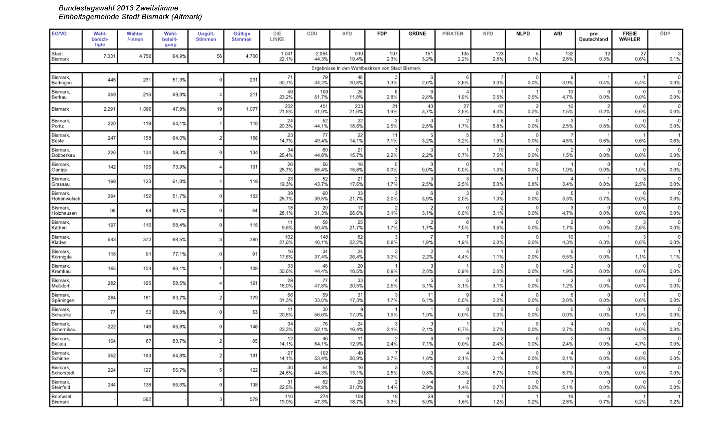
Bundestagswahl 2013 Wahlergebnisse der Einheitsgemeinde Stadt Bismark (Altmark)
Zur Bundestagswahl am 22.09.2013 haben von 7.331 Wahlberechtigten in der Einheitsgemeinde Stadt Bismark (Altmark) 4.174 Wähler in den 22 Wahllokalen von ihrem Wahlrecht Gebrauch gemacht.
582 Wähler gaben Ihre Stimme in Form der Briefwahl ab.
Somit haben sich insgesamt 4.756 Wähler aus der Einheitsgemeinde Stadt Bismark (Altmark) an der Bundestagswahl. Dies entspricht eine Wahlbeteiligung von 64,87 %.
In der EG wurde Herr Jörg Hellmuth als Direktbewerber gewählt.
Die Altmark wird im Deutschen Bundestag zukünftig von drei Abgeordnet vertreten. Das sind Herr Jörg Hellmuth (CDU) über Direktmandat, Frau Katrin Kunert (DIE LINKE) und Frau Marina Kermer (SPD) über die Landeslisten.
Die Bürgermeisterin der Einheitsgemeinde Stadt Bismark (Altmark), Frau Verena Schlüsselburg dankt allen Bürgern für Ihre Beteiligung an der Bundestagswahl.










